BEMER och hjärtats små signaler – vad forskningen visar om kranskärlssjukdom och hjärtvariabilitet

Kan något så subtilt som hjärtats naturliga rytmvariation säga något om vår hjärthälsa? Och kan en förbättrad mikrocirkulation påverka just dessa signaler? Tänk om svaret faktiskt är ja.
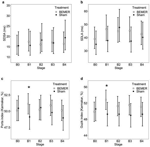
I en uppmärksammad studie som ingår i översiktsartikeln Microcirculation and Its Impact on Health and Disease (Frontiers in Physiology, 2022) undersökte forskare effekten av Fysikalisk Vaskulär Terapi med BEMER på patienter med kranskärlssjukdom, alltså sjukdom i hjärtats kärl.
Resultatet är både fascinerande och hoppfullt
❤️ Hjärtvariabilitet – en spegel av hjärtats anpassningsförmåga
Forskarna mätte något som kallas Heart Rate Asymmetry (HRA) – en del av hjärtvariabilitet (HRV). Det låter tekniskt, men är egentligen enkelt:
-
Ett friskt hjärta slår inte helt regelbundet.
-
Den lilla variationen mellan slagen är ett tecken på hur väl kroppen klarar stress, återhämtning och belastning.
-
Hos personer med hjärtproblem brukar denna variabilitet minska.
Med andra ord: HRA ger oss en direkt inblick i det autonoma nervsystemets balans, den del som styr hjärtats anpassningsförmåga.
⭐ Vad visade studien?
I studien "Physical Vascular Therapy (BEMER) Affects Heart Rate Asymmetry in Patients With Coronary Heart Disease" fick patienter med kranskärlssjukdom använda BEMER-terapi, och forskarna analyserade hur behandlingen påverkade deras HRA.
Resultatet var tydligt:
✔ BEMER förbättrade hjärtats asymmetriska rytmreglering
✔ Patienterna fick en mer välfungerande autonom balans
✔ Förändringarna var mätbara och statistiskt signifikanta
✔ Inga läkemedelsjusteringar gjordes – effekten kom från själva terapin
Forskarna beskriver detta som ett skifte mot en mer hälsosam hjärtrytm, vilket är särskilt viktigt hos personer med kranskärlssjukdom där mikrocirkulationen ofta är störd.
🔗 Studien i review-artikeln i sin helhet för dig som vill läsa:
https://pmc.ncbi.nlm.nih.gov/articles/PMC9087094/
🔬 Varför är detta relevant?
Vid kranskärlssjukdom påverkas inte bara de stora kärlen, utan även:
-
kapillärnätet, det vill säga mikrocirkulationen
-
vasomotionen, alltså kärlens naturliga pulserande rörelse
-
blodets fördelning i hjärtvävnaden
-
den autonoma regleringen
När mikrocirkulationen försämras blir hjärtat sakta mindre adaptivt. Det återhämtar sig långsammare och är mer sårbart för stress och belastning.
Studien ger därför stöd för en viktig insikt:
När vi optimerar mikrocirkulationen kan vi påverka hjärtats funktionella "finmotorik" – inte bara de stora kärlen.
Lite som när vi var yngre, när kroppen svarade snabbare, anpassade sig bättre och återhämtade sig enklare.
🧠 Mikrocirkulation, autonomi och hjärtats språk
BEMER arbetar med att stimulera den naturliga vasomotionen, något som enligt forskningen är centralt för:
-
syresättning i hjärtvävnaden
-
inflammationsreglering
-
reparationsprocesser
-
stressresiliens
När detta förbättras får det ofta effekter på just HRV och HRA – hjärtats subtila sätt att berätta hur det mår.
Den här studien visar alltså inte att BEMER botar hjärtsjukdom, men den visar mätbara fysiologiska effekter som är relevanta för hjärtats hälsa.
Och det är precis här mikrocirkulationens betydelse blir så tydlig.
🌱 Tänk om det skulle vara så enkelt?
Tänk om vi kunde stödja hjärtats återhämtning genom att hjälpa kroppen göra det den är byggd för – transportera syre, energi och immunceller dit de behövs.
Det är det som gör mikrocirkulationen så central för vår hälsa, och som gör BEMER så intressant för oss som jobbar med fysikalisk vaskulär terapi varje dag.
Många tycker att det är intressant att läsa forskningsartiklar och publicerade studier i koppling till mikrocirkulationen, så under BEMER och Forskning har vi samlat det som är aktuellt, förklarat i korthet hur BEMER fungerar, samt lagt upp två korta videos som visar effekten av en BEMER-behandling i realtid. Gå gärna in och titta där, eller kontakta oss direkt om du vill ha hjälp och guidning!
🔑 Är det dags att ge ditt hjärta bättre förutsättningar?
Vi på Bättre Hälsa Hemma är oberoende återförsäljare av BEMERs produkter, och vi hjälper både privatpersoner och företag att komma igång med fysikalisk vaskulär terapi.
BEMER används världen över av personer som vill:
✅ Stödja sin mikrocirkulation
✅ Förbättra återhämtning och energinivåer
✅ Skapa bättre förutsättningar för långsiktig hjärt- och kärlhälsa
📞 Kontakta oss direkt för mer information, detaljerad presentation och hur du på bästa sätt kan investera i din egen BEMER.
🌱 Ge ditt hjärta en chans att arbeta med naturens egna mekanismer igen.
